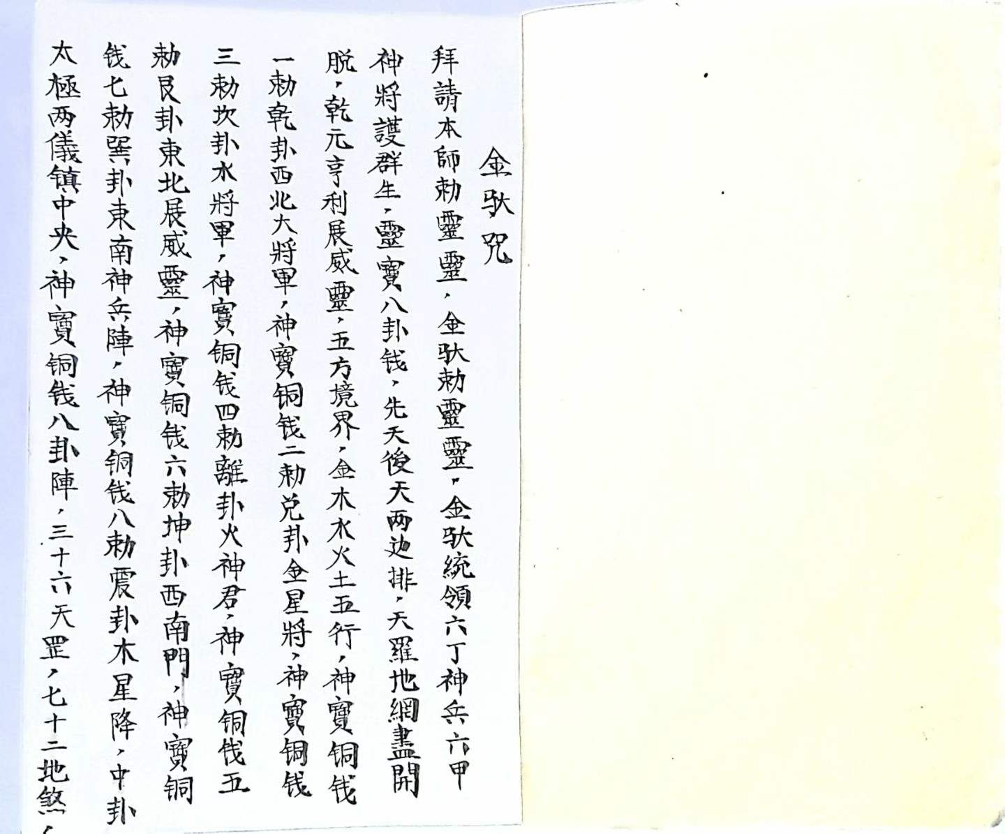
民间秘法《金驮教符秘》手稿41页
共41页,内容涵盖金驮咒、藏身符、开运符、护身符等,附含精美灵符与秘诀,适合研究传统文化、道教符咒与古代术数文化的爱好者研究参阅,非常具有历史与学术价值。




免责声明:
(1)站内所有资源均来自互联网收集或用户上传分享,本站不拥有此类资源的版权
(2)古籍365作为网络服务提供者,对转载行为的发生不具备充分监控能力。但是当版权拥有者提出侵权指控并出示充分版权证明材料时,古籍365负有移除转载作品以及停止继续传播的义务
(3)古籍365在满足前款条件下采取移除等相应措施后,不为此向原发布人承担违约责任或其他法律责任,包括不承担因侵权指控不成立而给原发布人带来损害的赔偿责任
以上内容如果侵犯了你的权益,请联系:[1404049576@qq.com] 我们将尽快处理
(1)站内所有资源均来自互联网收集或用户上传分享,本站不拥有此类资源的版权
(2)古籍365作为网络服务提供者,对转载行为的发生不具备充分监控能力。但是当版权拥有者提出侵权指控并出示充分版权证明材料时,古籍365负有移除转载作品以及停止继续传播的义务
(3)古籍365在满足前款条件下采取移除等相应措施后,不为此向原发布人承担违约责任或其他法律责任,包括不承担因侵权指控不成立而给原发布人带来损害的赔偿责任
以上内容如果侵犯了你的权益,请联系:[1404049576@qq.com] 我们将尽快处理
关于售后:
(1)因部分资料含有敏感词,百度网盘无法分享链接,请联系客服微信1404049576进行发送;
(2)如资料存在张冠李戴、语音视频无法播放等现象,都可以联系我们无条件更换!
(3)不用担心不给资料,如果没有及时回复也不用担心,看到了都会发给您的!放心!
(4)关于所收取的费用与其对应资源价值不发生任何关系,只是象征的收取站点运行所需各项综合费用
(1)因部分资料含有敏感词,百度网盘无法分享链接,请联系客服微信1404049576进行发送;
(2)如资料存在张冠李戴、语音视频无法播放等现象,都可以联系我们无条件更换!
(3)不用担心不给资料,如果没有及时回复也不用担心,看到了都会发给您的!放心!
(4)关于所收取的费用与其对应资源价值不发生任何关系,只是象征的收取站点运行所需各项综合费用
温馨提示:
部分玄学、武术、医学等资料非专业人士请勿模仿学习,仅供参考!
部分玄学、武术、医学等资料非专业人士请勿模仿学习,仅供参考!
古籍365 » 民间秘法《金驮教符秘》手稿41页